Etilcelulose – Um olhar crítico sobre as suas propriedades

Etilcelulose

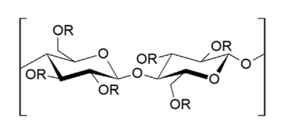
A etilcelulose é sintetizada por uma reação de eterificação a partir da celulose, onde ocorre a substituição de grupos hidroxilo da celulose por grupos etoxilo (-OC2H5). A sua estrutura química genérica encontra-se representada na Figura 1.

Figura 1. Estrutura química da etilcelulose, onde R = H ou CH2CH3

A etilcleulose é biocompatível, não iónica, possui um baixo custo [1][2] e é e aprovada pela United Sates Food and Drug Administration como Generally-Recognized-As-Safe. A solubilidade da etilcleulose varia dependendo do grau de substituição (DS), sendo que quando apresenta um DS entre 1,0 e 1,5 é solúvel em água, e com DS entre 2,2 e 2,6 é insolúvel em água, mas solúvel em solventes orgânicos. De notar que a grande maioria das etilceluloses comerciais apresentam um DS entre 2,2 e 2,6 [3]. Adicionalmente, a etilcelulose é resistente à luz, oxigénio e à humidade, possui resistência térmica, é estável na presença de vários produtos químicos e possui elevada biocompatibilidade com vários plastificantes e resinas. Todas estas características tornam a etilcelulose um polímero bastante promissor para a produção de filmes resistentes à água [4]. Contudo, a etilcelulose apresenta também algumas desvantagens que importa salientar. Apesar das propriedades de barreira serem superiores à maioria dos polissacarídeos, necessitam de ser melhoradas para considerar o seu uso mais generalizado em embalagens alimentares. Um outro aspeto a ter em conta são as propriedades mecânicas, principalmente a nível de alongamento, que para aplicação em embalagens flexíveis necessitam de substanciais melhorias. Por fim, a cinética de degradação é relativamente lenta: a etilcelulose demora cerca de um ano a degradar-se completamente no solo (podendo este tempo ser reduzido para 3 a 10 meses, em condições apropriadas de compostagem) 1, mas apresenta uma grande resistência à degradação em meio aquoso. Bading e coautores analisaram a biodegradabilidade deste polímero em meio aquoso, através do teste em garrafa fechada (OECD 301D), concluindo que este polímero é não biodegradável, dada a biodegradação observada ter sido inferior a 5%, num período de 28 dias [5].

Propriedades de barreira:

Filmes de etilcelulose preparados por extrusão, apresentam uma taxa de transmissão ao vapor de água (WVTR) de 107 g/m2 dia [6]. Valores inferiores são obtidos por solvent casting, 10 e 8 g/m2 dia, usando como solvente etanol e lactato de etilo, respetivamente [7]. Ao nível de taxa de transmissão ao oxigénio (OTR) estes filmes apresentam valores de 800 e 600 cc/m2 dia, usando etanol e lactato de etilo, respetivamente. Como é percetível, o método de produção e o tipo de solvente influencia as propriedades de barreira.

Propriedades mecânicas:

Filmes de etilcelulose preparados por extrusão (190 °C, 35 rpm) apresentam propriedades mecânicas extremamente influenciadas pela  massa molecular da etilcelulose. Com o aumento da massa molecular há um aumento no modulo de Young (392 a 569 MPa), resistência à tração (14 a 20 MPa), e alongamento na rutura (2,9 a 4,3%). Filmes de EC dissolvidos em acetona e clorofórmio, apresentaram maiores valores de resistência à tração, 39 MPa, comparados com os obtidos por extrusão. O uso de diferentes solventes promoveu diferentes alongamentos na rutura, 15% e 9%, usando acetona e clorofórmio, respetivamente [8][9].

 

[1] Wu, J. H., et al. Preparation of ethyl cellulose microspheres for sustained release of sodium bicarbonate. Iranian Journal of Pharmaceutical Research. IJPR 2019, 18(2), 556.

[2] Yang, J., et al. Extremely low-cost and green cellulose passivating perovskites for stable and high-performance solar cells. ACS applied materials & interfaces 2019, 11(14), 13491-13498.

[3] Adeleke, O. A. Premium ethylcellulose polymer based architectures at work in drug delivery. International Journal of Pharmaceutics 2019, 1, 100023.

[4] Su, X., et al. Preparation and characterization of ethyl cellulose film modified with capsaicin. Carbohydrate polymers 2020, 241, 116259.

[5] Bading, M., et al. Analysis of environmental biodegradability of cellulose-based pharmaceutical excipients in aqueous media. Chemosphere 2024, 352, 141298.

[6] Shlush, E., Davidovich-Pinhas, M. Fabrication of bioplastic material based on ethyl-cellulose using hot-melt extrusion. Food Packaging and Shelf Life 2023, 40, 101206.

[7] Horvat, G., et al. Simple, one-pot method for preparing transparent ethyl cellulose films with good mechanical properties. Polymers 2022, 14(12), 2399.

[8] Yang, D., et al. “Green” films from renewable resources: properties of epoxidized soybean oil plasticized ethyl cellulose films. Carbohydrate polymers 2014, 103, 198-206.

[9] Shi, J., et al. Preparation of cellulose nanocrystal from tobacco-stem and its application in ethyl cellulose film as a reinforcing agent. Cellulose 2020, 27, 1393-1406.

 

Este artigo foi realizado no âmbito do projeto SEA-FILM (COMPETE2030-FEDER-01436100), cofinanciando pelo Portugal 2030.

Partilhe!

Share on facebook
Share on twitter
Share on linkedin
Share on whatsapp
Share on email

Últimas notícias